Аналоги
Содержание
- 1 Аналоги
- 2 Фармакология
- 3 Дозировка и способ применения
- 4 Инструкция
- 5 Побочные эффекты
- 6 Аналоги
- 7 Фармакологическое действие
- 8 Спарекс, Но-шпа или Дюспаталин
- 9 Описание препарата
- 10 Противопоказания
- 11 Побочные проявления
- 12 Дюспаталин инструкция по применению
- 13 Дюспаталин или Ниаспам
- 14 Форма выпуска и состав
- 15 Аналоги
- 16 Цена
- 17 Форма выпуска и состав
- 18 Дюспаталин
- 19 Состав и форма выпуска
- 20 Апрофен
- 21 Тримедат или Дюспаталин что лучше
- 22 Производитель
- 23 Фармакодинамика и фармакокинетика
- 24 От чего помогает Дюспаталин
- 25 Особые указания
Заменить Мебеверин можно на следующие лекарственные средства:
- Дюспаталин — оригинальное лекарственное средство на основе мебеверина. Его действие подтверждено в ходе клинических испытаний, при их проведении изучены какие побочные эффекты может спровоцировать прием спазмолитика. В продаже препарат бывает в виде капсул и таблеток, которые противопоказаны при непереносимости их состава, лицам моложе 18 лет, пациенткам в положении и кормящим грудью.
- Дютан — российский препарат, который в качестве действующего компонента содержит мебеверин. В продаже спазмолитическое средство бывает в виде капсул, Они применяются при спазмах и болях пищеварительного тракта, вызванных синдромом раздраженного кишечника и органическими поражениями ЖКТ. Отличаются капсулы Дютан и Мебеверин составом вспомогательных компонентов, а также сроком годности (у Дютана он составляет всего 2 года).
- Ниаспам — индийский препарат, которой представляет собой спазмолитик действующий на органы пищеварительного тракта. Ниаспам имеет такие же показания и противопоказания, как и капсулы Мебеверин, становится причиной схожих нежелательных реакций, но срок его годности всего 24 месяца.
- Талинда ретард — спазмолитическое средство, содержащее в качестве действующее компонента мебеверин. Выпускается оно российской компанией «Верофарм», в капсулах. Талинда ретард и Мебеверин между собой отличаются только неактивными компонентами, входящими в их состав, в остальном оба медикамента схожи.
- Спарекс — российский препарат, содержащий мебеверин. Он может применяться у детей, которым исполнилось 12 лет, если у них наблюдаются функциональные расстройства пищеварительного тракта, сопровождаются болями. Взрослым препаратам назначается при спазмах ЖКТ, кишечной и желчной колике, синдроме раздраженного кишечника. С осторожностью Спарекс можно пить женщинам в положении.
- Но-шпа — венгерский препарат, который относится к спазмолитическим средствам. В качестве активного компонента лекарство содержит дротаверин. Он оказывает расслабляющее действие на гладкую мускулатуру желчевыводящих и мочевыводящих путей, матки, пищеварительного тракта. По показаниям спазмолитик можно применяться у женщин в положение. В таблетках Но-шпу разрешено давать детям старше 6 лет в качестве вспомогательного средства при язве желудка и 12-ти перстной кишки, гастрите, энтерите, колите, спазмах кардии и привратника. Так как дротаверин в отличие от мебеверина действует не избирательно, он чаще становится причиной нежелательных реакций.
- Тримедат — спазмолитическое средство, терапевтический эффект от которого объясняется тримебутином. Активное вещество действует энкефалинэргическую систему кишечника и регулирует его перистальтики. Оно обладает сродством, как к рецепторам возбуждения, так и подавления, поэтому препарат стимулирует гладкую мускулатуру кишечника при гипокинетических состояниях, и расслабляет ее при гиперкинетических. Медикамент действует на всем протяжении ЖКТ, ослабляет давление сфинктера пищевода, ускоряет опорожнению желудка и усиливает перистальтики кишечника. Он усиляет ответную реакцию гладкой мускулатуры толстого кишечника на пищевые раздражители. На фоне терапии восстанавливается нормальная физиологическая активность мускулатуры кишечника при различных патологиях пищеварительного тракта, ассоциируемых с нарушениями моторики. нежелательно пить в I триместре беременности и во время лактации, так как нет достоверных данных, каким образом лекарство влияет в этот период. При диспепсических расстройствах вызванных нарушением моторики пищеварительного тракта спазмолитик может применяться у детей старше 3-х лет.
Фармакология
Фармакологическое действие – спазмолитическое, миотропное.
Блокирует быстрые натриевые каналы клеточной мембраны миоцита и нарушает вход ионов Na+ в клетку, блокирует вход ионов Ca2+ через медленные каналы, замедляет процессы деполяризации мембраны и препятствует сокращению мышечных волокон.
Непосредственно расслабляет гладкую мускулатуру, преимущественно ЖКТ. Устраняет спазм, не оказывает значимого влияния на нормальную перистальтику кишечника. Не оказывает антихолинергического действия.
После приема внутрь не обнаруживается в плазме, т.к. подвергается пресистемному гидролизу в печени с образованием 3,4-диметоксибензойной кислоты (вератровой кислоты) и мебеверинового спирта. Выводится преимущественно с мочой исключительно в виде метаболитов — вератровой кислоты и мебеверинового спирта (в т.ч. частично в виде соответствующей карбоновой кислоты, частично — в виде деметилированной карбоновой кислоты), в небольших количествах определяется в желчи. Полностью выводится в течение 24 ч после приема однократной дозы. Не кумулирует.
Данные доклинических испытаний на животных
Исследования острой и субхронической токсичности, а также влияния на репродуктивную функцию у различных видов лабораторных животных показали, что ЛД50 при введении мебеверина внутрь составляла 902–1980 мг/кг, при в/в введении — 1% от ЛД50 при пероральном введении. Основные симптомы, наблюдавшиеся после введения животным мебеверина в высоких дозах внутрь и парентерально, свидетельствовали о поражении ЦНС, признаком которого являлось возбужденное поведение.
Тератогенного действия не выявлено.
Дозировка и способ применения
Таблетки Дюспаталина нужно принимать внутрь за полчаса до еды и запивать водой (не менее ста мл). В стандартную схему терапии входит прием по одной таблетке препарата (125 мг) три раза в сутки. Длительность курса зависит от скорости достижения клинического эффекта (купирование болевого синдрома, спазма). После достижения стойкого результата рекомендуется постепенная отмена лекарственного препарата в течение 3-4 недель: переход на двукратный (утром и вечером) и однократный прием.
При отмене Дюспаталина нужно ориентироваться на самочувствие пациента. Возобновление симптомов служит показанием для возвращения на трехкратный режим приема. При внезапном прекращении лечения возможно возникновение синдрома отмены.
Прием капсул осуществляют два раза в сутки с соблюдением равномерных интервалов между приемами. Доза Дюспаталина на один прием составляет 200 мг. Капсулу нельзя ломать, вскрывать, раскусывать. При восстановлении и нормализации тонуса пищеварительного тракта (отсутствие боли и спазмов) проводят постепенную отмену лекарства: сначала отменяют вечерний и, при отсутствии ухудшений, утренний прием. В случае возобновления симптомов возвращаются на двукратный прием Дюспаталина.
Инструкция
В инструкции содержится информация о показаниях, побочных проявлениях, противопоказаниях, способе приема, форме выпуска, взаимодействии препаратов, составе, условиях приема во время беременности/грудного кормления, условиях хранения, необходимой дозировке, а также сроке годности. Все эти данные необходимо внимательно изучить, чтобы в дальнейшем избежать непредвиденных последствий. Для полного ознакомления с лекарством в статье также можно найти сведения об отзывах, аналогах и ценовом диапазоне.
Фармакологическое действие
Эффективный и безопасный препарат в лечении абдоминального болевого синдрома.Мебеверин оказывает миотропное и спазмолитическое действие. Препарат обеспечивает: блокировку быстрых натриевых каналов клеточной мембраны миоцита, нарушение входа в клетку ионов натрия, блокировку входа ионов кальция сквозь медленные каналы, замедление процессов деполяризации мембраны, предотвращение сокращения мышечных волокон.
Способствует расслаблению гладких мышечных структур, преимущественно ЖКТ. Снимает спазм. На нормальную перистальтику кишечника значимого влияния не оказывает. Антихолинергическим действием не обладает.
В плазме после перорального применения не обнаруживается, потому что подвергается в печени пресистемному гидролизу с образованием мебеверинового спирта и вератровой кислоты.
Выводится в форме метаболитов (вератровой кислоты, мебеверинового спирта) преимущественно во время мочеиспускания, определяется в желчи в небольших количествах. Полное выведение лекарства происходит в течение дня после употребления однократной дозы.
Показания
Данное средство используется для лечения многих заболеваний желудочно-кишечного тракта.
К таким болезням можно отнести такие состояния, как:
- Желчная, а также кишечная колика;
- Спазм в желудочно-кишечном тракте, которые возникают в результате каких-либо заболеваний;
- Спазмы, боли, расстройства кишечника ().
Препарат также может быть назначен деткам, возраст которых переступил отметку в 12 лет, при нарушениях в работе желудочно-кишечного тракта, которые могут сопровождаться болями и спазмами.
Способ приема
Капсулы необходимо принимать внутрь, но их ни в коем случае не нужно разделять, разжевывать или дробить. Ее следует проглатывать в цельном виде. Капсулу нужно принимать за 20 минут до начала приема пищи.
Важно! Необходимую дозировку, а также продолжительность терапии может подобрать только специалист. .
Действующим веществом препарата МебеверинСуществуют разные схемы терапии, однако, в среднем дозировка составляет не более 400 мг.
Взрослым назначается:
- По 100 мг. Количество приемов в день составляет не более четырех раз;
- По 200 мг. Количество приемов в день составляет два раза;
- По 135 мг препарата Мебеверин. Количество приемов в день составляет три раза.
Как правило, после достижения нужного эффекта дозировка постепенно снижается.
Исследований о дозировке у пациентов преклонного возраста, лиц, имеющих нарушения в работе печени/почек, не проводилось. Однако, врачи все же не исключают возможность коррекции дозировки, поэтому перед началом приема следует посетить врача.
Форма выпуска
Данный препарат выпускается в виде капсул, которые имеют белые или почти белого оттенка пеллеты.
В состав лекарства входит мебеверина гидрохлорид, а также гипромеллоза, магния стеарат, повидон К-30, макроголл 6000, этилцеллюлоза. Капсула же содержит желатин и титана диоксид.
Взаимодействие препаратов
Важно! Перед назначением препарата врачу следует сообщить о приеме каких-либо средств!
Несмотря на то, что препарат с этанолом не вызвал никакого отрицательного воздействия, врачи все же не советуют употреблять алкоголь, т.к. он замедляет процесс выздоровления.
СРК проявляется болью в животе, связанной с поносом или запором. Иногда вы можете ощутить проявления, не связанные с желудочно-кишечным отделом — внекишечные.
Побочные эффекты
Только во время курсового лечения может выясниться индивидуальная непереносимость препарата, которая выражается в признаках аллергической реакции по типу крапивницы:
- возникновение отеков различной локализации;
- высыпания и покраснения на коже.
Крайне редко отмечались случаи таких побочных эффектов Дюспаталина:
- учащение сердечного ритма;
- слабость и быстрая утомляемость;
- повышенное потоотделение.
При обнаружении у себя одного из вышеперечисленных признаков следует обратиться к гастроэнтерологу, который скорректирует дозу или произведет замену лекарственного средства.
Аналоги
Важно! Среди представленных аналогов можно выделить дешевые препараты, однако, их подбором может заниматься только специалист!
Аналогами лекарственного средства Мебеверин являются такие препараты, как: Дютан, Ниаспам, Дюспаталин, Мебеспалин ретард, Спарекс.
Все гастроэнтерологические клиники и медицинские центры в вашем городе. Анализы и УЗИ. Консультация гастроэнтеролога. Болезни органов пищеварения. Узнать подробнее:— В Киеве (Герц, Ilaya, Euromed)- В Санкт-Петербурге (СМ-Клиника, Долголетие, Аллергомед, Врач +, БалтЗдрав, Профессор)- В Москве (СМ-Клиника,Медлюкс, Онмед)- В Харькове (ЦМЭИ, Олимпийский, Виктория, Fortis, Экомед)- В Минске (Белгирудо, Арт-Мед-Компани, Синлаб, Микоша, ГрандМедика, МедКлиник)- в Одессе (Медея, Он клиник, Into Sano, Венера)- В Разяне (Доверие +, Поликлиника-Песочня, Эврикас +)- в Нижнем Новгороде (Онли Клиник, Альфа-центр, ЕвроКлиник, СОЛО, Алтея)(Доктор А+, Клиника «Вера», Авиценна, Медис, Сибирина, Ваш доктор)
Фармакологическое действие
По описанию действие Дюспаталина заключается в устранении спазмов и болей кишечника путем расслабления гладких мышц. Поскольку большинство гладкомышечных клеток расположено в толстом кишечнике, то препарат оказывает прямое действие непосредственно на этот отдел.
Также вещество быстро расслабляет сфинктер, что улучшает отток желчи, устраняя боли. Дюспаталин не обладает антихолинергическим действием. После попадания в желудок он всасывается в кровь, переходит в печень, где распадается на метаболиты после биохимических превращений. Выводится вместе с мочой через 16 часов после однократного приема.
Спарекс, Но-шпа или Дюспаталин
| Спарекс | Но-Шпа | Дюспаталин |
|---|---|---|
| Хороший отечественный аналог Дюспаталину. Также имеет активное вещество мебеверин. Препарат на 35% дешевле Дюспаталина. | Но-Шпа — это один из известных и эффективных спазмолитических средств на основе дротаверина. | Дюспаталин – это спазмолитик на основе мебеверина, который устраняет боль в ЖКТ, колики, различного рода, спазмы желудка и кишечника. |
| Имеет более широкий спектр воздействия, чем Дюспаталин, но эффект даёт меньший. | Дюспаталин действует на мускулатуру ЖКТ, что помогает избавиться от самого спазма, а не просто снять болевой синдром. | |
| Дешевле препарата Дюспаталин. |
Препарат Дюспаталин лучше из данных медикаментов. Он обладает меньшим спектром действия, но оказанное выше действие эффективнее. По цене этот препарат дороже, но он оправдывает своими действиями.
Фото препаратов:


Описание препарата

Выпускается в капсулах.
Действующее вещество – мебеверин гидрохлорид.
Мебеверин представляет собой миотропное спазмолитическое лекарство, влияющее на гладкомышечный слой всех органов пищеварительной системы.
Он блокирует натриевые каналы, что нарушает движение ионов в клетку, и мышцы перестают сокращаться.
Мебеверин расслабляет мускулы ЖКТ, убирает спазмы, не снижая при этом функциональности кишечника.
Препарат назначают для:
- Устранения спазма в ЖКТ, спровоцированного органическими заболеваниями.
- Лечения кишечного и желчного колика.
- Снятия кишечных болей.
- Устранения расстройства желудка.
Капсула принимается внутрь за 20-25 минут до приема пищи. Дозировка и курс лечения определяются специалистом.
Среди побочных эффектов можно выделить запор, головокружение, .
Как правило, взрослые пьют Мебеверин по одной из схем:
- 200 мг два раза в день;
- 100 мг четыре раза ежедневно;
- 135 мг три раза в день.
При достижении положительного результата дозировка постепенно снижается.
Единственный недостаток Мебеверина – высокая цена.
Поэтому поговорим о его более дешевых аналогах.
Противопоказания
Противопоказаний практически не имеется, скорее рекомендации:
- повышенная чувствительность организма к химическим веществам, имеющимся в составе — может проявиться в виде крапивницы;
- запрещено применение Дюспаталина для лечения детей — фирма-изготовитель не производила испытания на данной возрастной группе;
- советуют остерегаться принимать кормящим матерям, причина — отсутствуют лабораторные исследования по поводу его попаданий в грудное молоко;
- беременным женщинам использовать только в исключительных случаях (недоступность других обезболивающих, невозможность обращения в медицинское учреждение);
- быть осторожными с ним людям, страдающим заболеваниями почек, печени.
Побочные проявления
Побочные проявления в результате приема проявляются редко. В единичных случаях у больного могут отмечаться такие проявления, как:
- Головокружение, тошнота, рвота, потеря ориентации в пространстве;
- Боль в голове, экзантема;
- Отечность, крапивница, ангионевротический отек, зуд, покраснение кожных покровов.
В случае возникновения данных проявлений прием лекарства необходимо остановить. Как правило, нормализация состояния происходит самостоятельно в течение нескольких дней, однако, если этого не произошло, то следует вызвать скорую или самостоятельно обратиться в больницу.
Теоретически, в случае наступления передозировки возможны нарушения, которые носят неврологический или же сердечно-сосудистый характер. В качестве лечения следует провести симптоматическую терапию.
Передозировка
Прием Мебеверина в больших количествах способствует возбуждению центральной нервной системы. Для устранения последствий передозировки проводится удаление из ЖКТ компонентов препарата, не успевших всосаться. Для этого промывается желудок, после чего назначается прием угля активированного.
Противопоказания
Противопоказан данный препарат при таких состояниях, как:
- Аллергия на отдельные составляющие лекарства;
- Детский возраст пациента до 18 лет;
- .
Беременность
От приема этого или какого-либо иного средства в период беременности необходимо воздержаться.
Такая мера связана с тем, чтобы не было оказано отрицательного воздействия на зарождающиеся организм плода. Если от приема средства отказаться невозможно, то допускается применения лекарства, но при этом девушка должна регулярно наблюдаться у врача.
Дюспаталин инструкция по применению
Таблетки
питьевой воды
- 1-я неделя – перед завтраком и обедом принимать по одной целой таблетке Дюспаталина, а перед ужином – половинку.
- 2-я неделя – принимать Дюспаталин два раза в день по одной целой таблетке – перед завтраком и ужином, то есть утром и вечером.
- 3-я неделя – принимать Дюспаталин утром перед завтраком по одной целой таблетке, а вечером перед ужином – по половинке.
- 4-я неделя – принимать по одной таблетке в сутки утром перед завтраком.
здоровья
Капсулы
водысимптомы
Передозировка
желудкаактивированного углясорбента
Взаимодействие с другими лекарственными препаратами
медикаментами
Дюспаталин или Ниаспам

Препарат выпускается в капсулах, которые содержат такое же количество действующего компонента, как и в Дюспаталине. Благодаря тому, что вещество растворяется постепенно, эффект достигается долго.
Подробно сравнивая два лекарства (Дюспаталин или Ниаспам), стоит выделить три основных отличия:
- Производители. Дюспаталин производится одной проверенной голландской компанией во Франции, а его аналог является индийским препарат.
- Несущественные различия в составе. Конечно, изучая инструкцию можно заметить, что вспомогательные вещества у них различные. Однако конечный результата по достижению желаемого эффекта является одинаковым. В 75% пациенты испытали значительное улучшение своего состояния.
- Цена. Ниаспам на 30 % дешевле.
Оба препарата хорошо переносятся, вызывают минимальное количество побочных эффектов.
Форма выпуска и состав
Выпускается Дюспаталин в форме таблеток и капсул. В капсулах содержится больше основного действующего вещества, чем в таблетках и они обладают пролонгированным действием. В капсулах и таблетках содержится мебеверин, химическое вещество. Кроме всего в капсулах имеются такие вспомогательные вещества, как магния стеарат, метилметакрилат сополимер, этилакрилат сополимер, тальк, гипромеллоза, триацетин, желатин, титана диоксид, шеллак, железа оксид черный, лецитин соевый и пеногаситель.
В отличие от капсул в таблетках содержатся такие вспомогательные вещества, как лактоза моногидрат, крахмал картофельный, повидон К25, тальк, магния стеарат, сахароза, желатин, акации камедь, воск карнаубский.
Аналоги
Совпадения по коду АТХ 4-го уровня:
- Апрофен
- Меверин
- Ниаспам
- Тримедат
Существует множество аналогичных Дюспаталину лекарств. Данный препарат и его аналоги имеют приблизительно одинаковый состав и направлены на борьбу с конкретным заболеванием. Разница только в цене: есть аналоги дешевле, есть – дороже.
Цена на аналоги колеблется в диапазоне от 100 до 600 руб. в зависимости от упаковки.
Наряду с Дюспаталином врачи часто прописывают препараты Но-Шпа, Тримедат и Дицетел.
Что лучше: Дюспаталин или Дицетел?
Если у вас есть проблемы с органами желудочно-кишечного тракта, следует пропить курс Дюспаталина. Как долго можно принимать это лекарство? Лучше всего на этот вопрос ответит врач и назначит определенные сроки курса.
Если же у вас единичный спазм – данный препарат тут не поможет, в такой ситуации лучше всего подойдет Дицетел, который устранит боль. При расстройствах, связанных с неправильным питанием, также больше подойдет Дицетел.
Тримедат или Дюспаталин?
Данные препараты оказывают практически одинаковое действие на организм человека. Единственное их различие состоит в том, что Тримедат направлен на лечение более сложных заболеваний желудочно-кишечного тракта, от чего таблетки Дюспаталин не помогут. Очень часто врачи предлагают эти два препарата на выбор. Следует учесть, что цена на Тримедат заметно ниже.
Дюспаталин или Но-Шпа?
Эти препараты различаются тем, что Но-Шпа — препарат широкого действия, а Дюспаталин имеет узкую направленность. Также заметна разница в цене: Но-Шпа стоит в несколько раз дешевле.
Остальные аналоги Дюспаталина:
- Бускопан
- Дибазол
- Папаверин
Цена
Важно! Информацию о цене необходимо узнавать в аптеке. . Стоимость на лекарство складывается исходя из наценки на препарат, закупочную цену, затраты, которые несет компания при перевозке товара
Стоит понимать, что в различных странах валюта будет разной, а соответственно и цена будет существенно меняться. Скачки цен можно рассмотреть на примере двух соседствующих стран — России и Украины.
Стоимость на лекарство складывается исходя из наценки на препарат, закупочную цену, затраты, которые несет компания при перевозке товара. Стоит понимать, что в различных странах валюта будет разной, а соответственно и цена будет существенно меняться. Скачки цен можно рассмотреть на примере двух соседствующих стран — России и Украины.
Россия
За данное лекарство в среднем придется заплатить 440 рублей.
Украина
За препарат Мебеверин в среднем придется заплатить 226 гривен.
Форма выпуска и состав
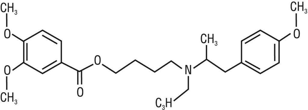
Активное вещество Дюспаталина – мебеверина гидрохлорид:
- 1 капсула – 200 мг;
- 1 таблетка – 135 мг.
Лекарственные формы:
- Таблетки, покрытые оболочкой: имеют круглую форму и белый цвет (по 10 шт. в блистерах, в картонной пачке 1 или 5 блистеров; по 15 шт. в блистерах, в картонной пачке 1, 2 или 6 блистеров; по 20 шт. в блистерах, в картонной пачке 1, 2, 3, 5 или 6 блистеров).
- Капсулы пролонгированного действия: размер №1, непрозрачной твердой желатиновой структуры белого цвета, имеют на корпусе маркировку «245»; внутри капсулы находятся гранулы белого или почти белого цвета (по 10 или 15 шт. в блистерах, в картонной пачке 2 или 3 блистера).
Дюспаталин

Этот препарат имеет аналогичное с Мебеверином действующее вещество.
Обладает спазмолитическим эффектом.
Положительно влияет на функционирование толстого кишечника.
Взрослым его приписывают для лечения панкреатита, детям от 12 лет – для устранения ноющей боли в районе ЖКТ.
Принимала Дюспаталин для устранения несильных болей внизу живота. Вроде бы помог, но все равно какой-то дискомфорт был. Да и голова немного кружилась, пока принимала. В общем, эффектом от этого лекарства я не довольна.
Елена, 37 лет
Лет 20 лечил любые спазмы в животе Мебеверином, но в последнее время не устраивает результат и очень высокая цена. Сосед посоветовал Дюспаталин. Я доволен всем: и результат хороший, и цена доступна для обычного пенсионера. Рекомендую!
Иван Иванович, 66 лет
Сравнив характеристики аналогов и отзывы о них, сложно сказать, каким препаратом лучше лечиться. Каждый сам решает, от чего отталкиваться при выборе лекарства, но главное помнить, что здоровье – это не то, на чем надо экономить.
4 (80%) 1 vote
- Разделы
- Метки
ЖКТ , Спазмолитики. Обезболивающие. Анастетики
кишечные колики , синдром раздраженного кишечника , язвенная болезнь желудка
- Похожие статьи
- Автор
-
16
1 Какие существуют дешевые аналоги Омеза на российском рынке?
-
26
2 Характеристика препарата Де-Нол и его отечественных аналогов
-
0
3 Препараты для лечения гастрита и язвы: аналоги Эзомепразола
-
19
4 Полные и неполные аналоги Дюспаталина
-
9
5
Состав и форма выпуска
Лекарственный препарат Дюспаталин производится в двух формах:

Капсулы по 200 мг. 
Таблетки по 135 мг.
Капсулы более эффективны в использовании, так как содержат больше активного вещества, нежели таблетки. Также капсулы содержат пролонгированное действие «ретард». Фармацевтический термин «ретард» обозначает длительное действие.
- Внешне таблетки круглой формы белого оттенка.
- Производятся таблетки Дюспаталин по 10, 15, 20, 30, 40, 50, 60, 90, 100 и 10 штук в одной упаковке.
- Внешне капсулы также белого оттенка в плотной желатиновой оболочке.
- На каждой капсуле есть маркировка «245», «S», «7». В их состав входят гранулы белого оттенка.
- Производятся капсулы Дюспаталин по 10, 20, 30, 50, 60 и 90 штук в одной упаковке.
Активное вещество, которое содержится в препарате Дюспаталин во всех его формах – это мебеверин.
Дополнительные компоненты капсул и таблеток имеют несколько отличий.
В состав вспомогательных веществ таблеток входят следующие компоненты:
- Лактозы моногидрат;
- Повидон К25;
- Картофельный крахмал;
- Тальк;
- Сахароза;
- Стеарат магния;
- Желатин;
- Воск Карнаубский;
- Камедь акации.
В состав вспомогательных веществ капсул входят следующие компоненты:
- Стеарат магния;
- Сополимер этилакрилат;
- Сополимер мелитметакрилат;
- Тальк;
- Триацетин;
- Гипромеллоза;
- Желатин;
- Шеллак;
- Диоксид титана;
- Чёрный железа оксид;
- Пеногаситель;
- Соевый лецитин.
Апрофен

Эффективное лекарство, оказывающее спазмолитическое и сосудорасширяющее действие на организм.
Выпускается в форме таблеток и раствора для инъекций.
Апрофен назначают при язве, колите, холецистите и других заболеваниях ЖКТ, а также при спазме сосудов головного мозга.
Часто беспокоили спазмы в животе. Решил попробовать Апрофен, повелся на отзывы довольных людей. Мне лекарство не подошло. Спасался старым добрым Мебеверином. Для себя сделал вывод, что лучше не экспериментировать и покупать проверенные таблетки.
Вячеслав, 45 лет
Очень довольна Апрофеном. Всегда быстро и эффективно действует. Когда раньше убирала спазмы Мебеверином, облегчение наступало только через 2-3 часа.
Кристина, 38 лет
Тримедат или Дюспаталин что лучше

Что касается остальных, входящих в состав компонентов, то они отвечают за усвоение препарата.
Поступая в организм, медикамент усваивается желудочно-кишечным трактом, проникает в кровь.
Максимальная активность наступает через полчаса после применения, хотя данный промежуток может быть продлен до двух часов. Спустя сутки после употребления, препарат полностью выводится из организма вместе с мочой.
Благодаря отсутствию токсичности и способности к накапливанию в организме, лекарство не вызывает зависимость и допускается для длительного использования.

- снижение спазмов вызванные хроническими заболеваниями;
- уменьшает вздутие;
- избавляет от коликов;
- устраняет запоры;
- нормализует перистальтику кишечника;
- улучшает отток желчи
- обеспечивает естественное передвижение пищи из желудка в кишечник.
Все неприятные синдромы исчезают.
Показания к применению
Обычно специалисты назначают Тримедат при сбоях в работе желудочно-кишечного тракта. Предпосылками для употребления, может стать появление следующих симптомов:
- тошнота;
- симптом раздраженного кишечника;
- спазмы;
- болевые ощущения;
- застой еды в желудке;
- вздутие живота.
Частое данное лекарственное средство назначается при панкреатите.
Противопоказания

- беременным;
- лицам, страдающим лактазной недостаточностью;
- людям, имеющим индивидуальную непереносимость;
- в период лактации.
Препарат часто назначают при панкреатите, но во время обострения заболевания стоит временно отказаться от лекарства.
Дозировка
Назначить точную дозировку может только врач, поэтому заниматься самолечением не рекомендуется. Обычно его назначают по 1 таблетки 3 раза в день перед едой, предварительно запивая большим количеством воды.
Побочные эффекты
Возникают редко, но стоит о них все же знать:
- аллергическая реакция;
- тошнота;
- диарея;
- сбой менструального цикла.
Все побочные синдромы исчезают после отказа от таблеток.
Тримедат хороший помощник в устранении проблем с ЖКТ. Если выбирать лучшее, то оба средства эффективны, помогают устранить имеющиеся проблемы. Однако данное средство в отличие от Дюспаталина имеет широкий спектр действия.
Производитель
Майлан Лэбораториз САСРут де Бельвилль, Лье-ди Майар,01400, Шатийон-сюр-Шаларон, Франция
Фасовщик, упаковщик:
Майлан Лэбораториз САСРут де Бельвилль, Лье-ди Майар,01400, Шатийон-сюр-Шаларон, Франция
Выпускающий контроль качества:
Майлан Лэбораториз САСРут де Бельвилль, Лье-ди Майар,01400, Шатийон-сюр-Шаларон, Франция
Организация, уполномоченная производителем на принятие претензий от потребителей:
ООО «Эбботт Лэбораториз»
125171, Москва, Ленинградское шоссе, дом 16а, строение 1.
Тел.: +7 (495) 258 42 80
Факс: +7 (495) 258 42 81
Минушкин О.Н., Елизаветина Г.А., Ардатская М.Д. Лекарственная терапия функциональных расстройств кишечника и желчевыводящей системы, протекающих преимущественно с абдоминальными болями и метеоризмом. Клиническая фармакология и терапия. 2002;1:24-26.
Фармакодинамика и фармакокинетика
Мебеверин блокирует натриевые каналы в полупроницаемой мембране миоцитов, таким образом, нарушая ток ионов натрия в клетку, ионы кальция также не проникают через мембрану, мышечные волокна перестают сокращаться.
Вещество расслабляет гладкую мускулатуру желудочно-кишечного тракта, снимает спазм, но не снижает нормальную перистальтику кишечника. Средство не оказывает центрального холинолитического действия.
Сразу после попадания в ЖКТ вещество подвергается пресистемному гидролизу, образуется вератровая кислота и мебевериновый спирт.
Мебеверина Гидрохлорид невозможно обнаружить в плазме крови. Выводятся метаболиты с мочой и желчью в течение суток. Средство не накапливается в организме.
Препараты, содержащие данное действующее вещество не обладают тератогенным действием.
От чего помогает Дюспаталин
При симптоматическом лечении Дюспаталин помогает при следующих ситуациях:
- Во время развития синдрома толстого кишечника для купирования различных неприятных ощущений при расстройстве кишечных структур и живота.
- Во время возникновения желчной колики.
- Спазмы вторичного происхождения, которые происходят на желудке и кишечном тракте при панкреатите или холецистите.
- При появлении дисфункции желчного пузыря или во время различных состояний у больных после удаления этого органа.
- Различные расстройства органов пищеварения, носящие функциональный характер и возникающие с болевым синдромом в области живота. Лекарство в этом случае используется для детей старше 12 лет.
- Различные болевые ощущения, вызванные спазмами в животе.
- Колики в кишечном тракте.
Можно использовать этот препарат при симптоматическом лечении болезненных ощущений, дискомфорта и спазматических явлений в кишечном тракте.

Особые указания
Перед приемом препарата Дюспаталин необходимо проконсультироваться с врачом, в случае:
- если симптомы заболевания возникли впервые;
- непреднамеренной и необъяснимой потери веса;
- анемии
- ректального кровотечения или примеси крови в стуле;
- лихорадки;
- если у кого-то в вашей семье был диагностирован рак толстой кишки, целиакия или воспалительные заболевания кишечника;
- возраста старше 50 лет и если симптомы заболевания возникли впервые;
- недавнего применения антибиотиков.
Обратитесь к врачу, если на фоне приема препарата состояние ухудшилось или не наступило улучшение симптомов после 2 недель применения.